近日,巴黎人娱乐城 博士生王攀奇在导师李晓光教授的指导下,以第一作者身份在建筑材料领域国际顶级期刊《Cement and Concrete Composites》(中科院1区TOP,IF=10.8)上发表论文“Formation of calcium-aluminum-silicate-hydrate (C-A-S-H) in iron ore tailings ceramsite and its influence on cement hydration degree”(水化硅铝酸钙凝胶(C-A-S-H) 在铁尾矿陶粒表面的形成及其对水泥水化程度的影响)。论文通信作者为巴黎人娱乐城 李晓光教授,论文第一署名单位和通信作者单位均为长安大学。该项研究由国家自然科学基金项目(52272015)资助。

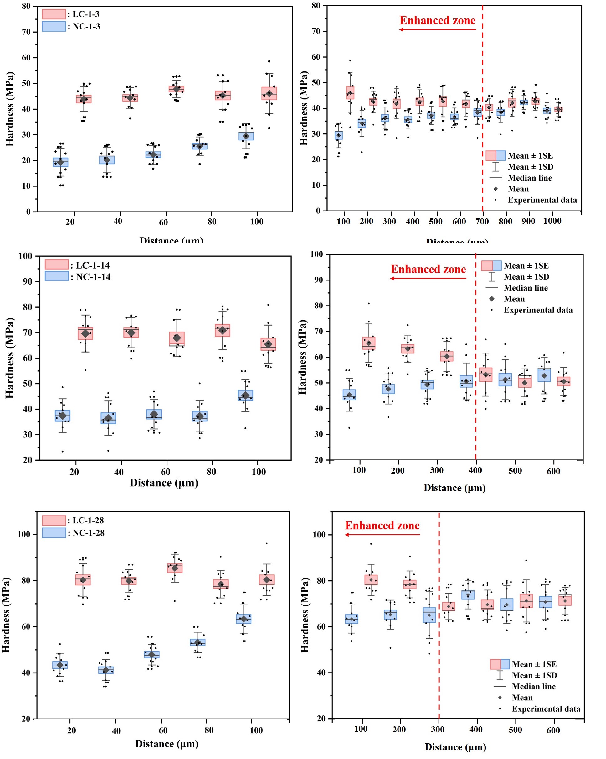
本文研究了铁尾矿陶粒在水泥和混凝土中的应用潜力。研究重点阐明了铁尾矿陶粒的火山灰反应及其对水泥浆体水化动力学的影响。结果表明,铁尾矿陶粒中的活性物质在碱性环境中溶解,并与水泥溶液中的Ca2+结合,形成以针状C-A-S-H为框架、层状C-A-S-H为核壳的稳固结构。铁尾矿陶粒的掺入可以推迟水泥诱导期的结束时间,并能够显著增加了总水化放热量。水泥硬化浆体的抗压强度与其水化程度具有线性关系。铁尾矿陶粒表面形成的C-A-S-H凝胶可以明显增强100 μm范围内的水泥石强度,且在3天后这一强化效果可扩展至700 μm。本研究为铁尾矿陶粒在混凝土行业中的应用提供了重要理论支撑。



文献链接:
供 稿:王攀奇
审 核:赵晓红
网络编辑:蒋亚军
责任编辑:孟庆鹏